Massive Quiescent Disk Galaxies at 0.5 ≤ z ≤ 1 in CANDELS, Color Gradients and Likely Origin
Qifan Cui, Pinsong Zhao, F. S. Liu
Galaxies are broadly divided into two classes: (1) star-forming systems with prominent disks often exhibiting blue color and spiral structure, and (2) quiescent systems dominated by a spheroidal morphology—the most extreme being ellipticals—usually having very little ongoing star formation and red color. However, in addition to the dominated population of spheroidal galaxies at the massive end (M* > 1010M⊙) of the red sequence (RS), a rare population of red disk galaxies also intrude the RS. The existence of such massive red (quiescent) disk galaxies challenges the current standard paradigm of galaxy formation, and their origin remains unclear.
To address the above issues, we have carefully identified 48 RS, disk-dominated galaxies with M* > 1010M⊙ between redshift 0.5 and 1.0 in all five CANDELS fields. These galaxies are well fitted by a two-component bulge plus disk model, and have the bulge-to-total ratio B/T < 0.4 in the both F814W and F160W bands. we have also selected two control samples of 156 green valley (GV) and 309 blue cloud (BC) disk-dominated galaxies according to the same selection criteria. A snapshot of several selected massive quiescent disk galaxies are shown below.

Figure: Color thumbnail images of identified 48 disk-dominated RS galaxies. Each thumbnail has a size of 45 × 45 kpc. The best redshift and CANDELS ID are displayed on the bottom right corner of each thumbnail.
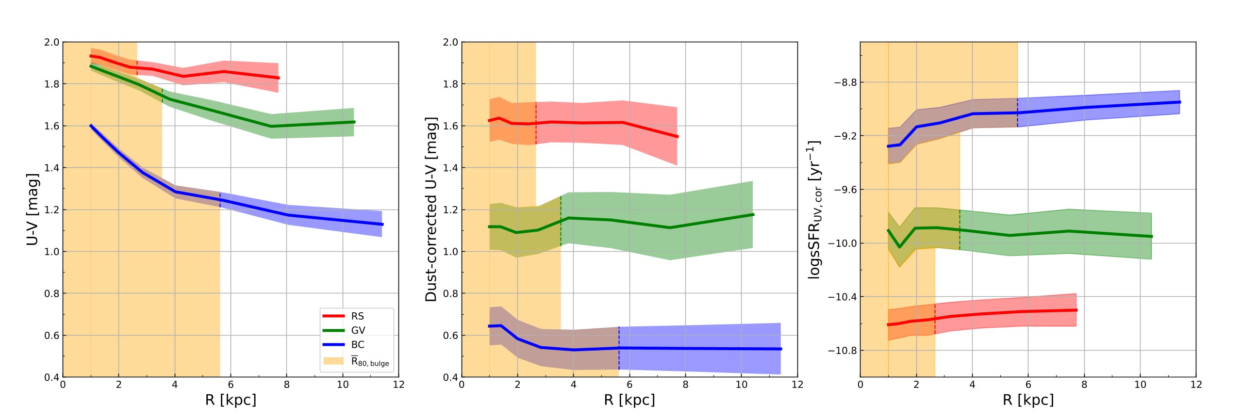
We study the UVI(U − V versus V − I) color gradients of these galaxies to infer their specific star formation rate (sSFR) gradients out to the maximum acceptable radii. We show that on average the disks in disk-dominated RS galaxies are fully quenched at all radii, whereas both the BC and GV disks are not fully quenched at any radii. We find that all the BC, GV, and RS disk galaxies generally have nearly flat sSFR profiles.

Figure: The stacked raw U − V profiles (left), the dust-corrected U − V profiles (middle), and the sSFR profiles (right) for the disk-dominated RS (red), GV(green), and BC (blue) galaxies, respectively. The orange shaded regions indicate the average R80,bulge of the bulge components for each subgroup.