极端相对论性双中子星系统PSR J1946+2052的质量测定与广义相对论检验
双中子星系统(Double neutron star, DNS)是研究强场引力与致密物质状态方程的关键天体实验室,其中轨道短、相对论效应突出的系统尤为重要。PSR J1946+2052 是迄今银河系已知轨道周期最短的DNS,其轨道周期仅 1小时53分钟,合并时间约 4600万年,同时该脉冲星自旋周期为 17毫秒,为所有DNS系统中最快之一。这些极端物理条件使其成为检验广义相对论(GR)、测量双星质量与未来探索脉冲星转动惯量的重要对象。
中国科学院国家天文台脉冲星和引力物理研究团组孟令祺同学及其合作者利用Arecibo 305m射电望远镜、Green Bank射电望远镜(GBT)、以及中国天眼FAST长达七年的高精度脉冲计时数据,对该系统进行了深入的计时分析。数据处理中特别纳入色散量演化与相对论自旋进动导致的脉冲轮廓变化因素,并使用无引力理论依赖的DDFWHE模型与基于GR框架的DDGR模型测量自旋、运动与双星轨道参数。

图1:脉冲到达时间相对于MJD和轨道相位的计时残差

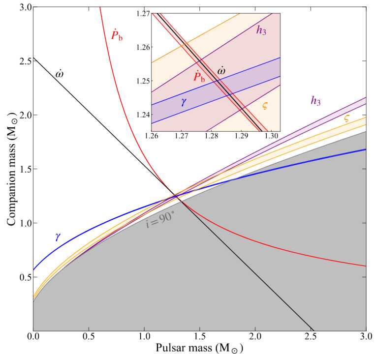
图2:PSR J1946+2052的质量-质量图。每条曲线代表一个后开普勒参数,灰色区域为质量函数排除的区域。
本工作成功测量得到五个后开普勒参数。每个后开普勒参数可以用质量-质量图中的一条曲线代表,而从图2中可以看出,5条曲线都精确交于一点,说明广义相对论通过了检验。利用对开普勒参数的测量,我们可以得到质量估计:系统总质量 2.531858(60) M⊙,伴星质量 1.2480(21) M⊙,脉冲星质量 1.2838(21) M⊙,精度极高。与此同时,本工作给出三项对广义相对论的具体检验:
1. 轨道周期衰减 :测量得到的与GR预测一致,为迄今第二精确的引力辐射检验,其与GR的比值为 1.00005(91),严格通过检验。
2. Shapiro delay参数h3:h3与广义相对论预言值的比值为0.997(56),因此广义相对论通过了h3的检验。
3. Shapiro delay参数ς:ς与广义相对论预言值的比值为1.01(5),广义相对论同样通过了检验。
此外,本工作对近心点进动 的高阶相对论贡献进行了分析,发现二阶后牛顿项及Lense–Thirring效应均已超过当前测量误差,因此总质量的测量被修正为2.531922(57) M⊙。该系统因相对论效应极强,将在未来成为探测GW辐射、验证强场引力与实现脉冲星转动惯量测量的关键研究对象。
本工作已发表于《Astronomy&Astrophysics》,链接为https://doi.org/10.1051/0004-6361/202555689。